글 60건
매매경험 없던 저도! 구해줘내집(월부 부동산 중개 서비스)을 통해 내집마련 성공 했습니다 !!
내마중 2주차 늦은 후기 함박
내집마련 중급반 3주차 수강후기 함박
서울시 동대문구 내집마련 보고서 [내마중 20기 함박]
서울시 동대문구 내집마련 보고서 2주차 함박
내마중 1주차 강의 후기
내집마련 가능 예산 짜보기
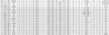
내집마련 보고서-시세표 [내집마련 중급반 20기 함박]
아파트의 '아'부터 부동산계약까지 다 알려주는 내집마련 기초반 후기 [내마기56기 86조 8팔할때 집 6채사죠 함박]
이문동 현대 아파트 보고서[내마기 56기 8팔할때 집 6채사조 함박]
내마기 2주차 강의 후기[내마기 56기 8팔할때 집 6채사조 함박]
[내마기56기 8팔할때 집6채 사죠 함박] 하늘은 스스로 돕는자를 돕는다 !
내마기 56기 8팔할때 집6채 살조 함박 1주차 과제
오가닉님 감사합니다!!
[서투기 19기 3년간 3채 등기치조 33조 함박] 자모님의 4강 강의후기
서울시 서대문구 임장보고서 [서투기19기 3년간 3채 등기치조 함박]
서울시 서대문구 임장보고서 [서투기 19기 3년간 3채하조 33조 함박]
[서투기19기 3년간 3채하조 33조 함박] 3주차 강의 후기
서울시 서대문구 임장보고서[서투기19기 3년간 3채하조 함박]
[서투기 19기 3년간 3채 등기치조 함박] 2강 강의후기